Enreach Info
Enreach Info
  • Updated

Summary

This article provides recommendations for server and client systems with regard to the hardware to be used. These recommendations should not be seen as minimum requirements but describe a working SwyxWare VM sizing for typical usage scenarios.


General Information

The recommendation for the SwyxServer depends on the number of logged in SwyxWare users, the number of calls per hour and the number of all registered speed dials.

The necessary CPU power of the services SwyxGate, SwyxLinkManager, SwyxRemoteConnector and SwyxFaxServer depends mainly on the number of simultaneous connections mapped by the respective service.

A typical usage scenario based on which the system requirements are defined within this article can be described as follows.

  • On average, all users have logged on two devices (hardware or software) simultaneously, e.g. a SwyxPhone and a Swyx Mobile App.
  • Users have configured about 10 speed dials which display presence information.
  • The ratio of the number of users logged on to the number of active calls is 10/1.
    Example: In a SwyxWare installation with 150 users, 15 calls are usually active at the same time.
  • About 10% of the logged on users use mobile clients via the Remote Connector Service.
  • SwyxWare is installed on a server with the following components
    • SQLExpress
    • SwyxWare Server (all services)
    • Push Notification Service
    • Swyx Control Center

The requirements specified here for a SwyxWare server assume a Windows server operating system with desktop support. If a Windows server core is used, the RAM recommendation can usually be reduced by one GB.

The system requirements are given in terms of number of CPU cores, RAM and disk space without defining exact processor hardware, as most new SwyxWare installations are provided in virtual machines. If you are not yet running SwyxWare virtualized, make sure that you use a modern processor designed for server usage.

The recommendations in this document describe values for dimensioning the entire SwyxWare VM and assume that the VM is only used for SwyxWare and its components.

When using VisualGroups, the separate requirements for the server must be considered.

Please note that in virtualized environments the resource consumption strongly depends on the actual usage scenario. Therefore we strongly recommend that you configure your SwyxWare VM according to our guidelines and the recommendations of the virtualization vendor and then measure the VM resources while the software is in production use. Adjust the VM configuration as necessary to optimize resource usage.

Please note that MS SQL Express can manage a maximum of 10 GB in the database. If your requirements exceed this limit, you will need to use an MS SQL Server Edition.

Nevertheless it is recommended to run SwyxWare exclusively on a non- or virtual server instance.

For installations with more than 300 users and/or more than 60 channels, please contact the Swyx Presales Team (+49 231 4777-377 or presales@swyx.com) for more detailed hardware design recommendations.

The same applies for use in call center scenarios, high traffic and standby configurations, and when services are shared between more than one server for redundancy or load balancing. We will be happy to discuss your individual requirements with you.

The requirements described in the following go up to a user count of 1500 users / server. If you are planning to use up to 2000 users / server, please contact our Presales team, who will provide you with a dedicated hardware recommendation based on the customer's requirements.


Requirements SwyxWare Server

Supported operating systems

A current list of the operating systems supported for the individual SwyxWare 12 components can be found in Supported Operating Systems for SwyxWare Version 12 .

Hard disk space

SwyxWare uses disk space to store

  • of user configuration data such as the client configuration,
  • of the personal phone book,
  • Speed dial key configuration,
  • Voice mail announcements or other audio announcements,
  • Call Routing Rules,
  • Received and sent fax files,
  • Ringtones and user interface skins,
  • historical data such as call journals of the users,
  • Call detail records and
  • Log files for troubleshooting

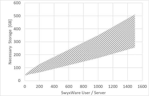
Based on typical usage scenarios, the following figure shows the required hard disk storage capacity in relation to the number of users.

mceclip0.png

To monitor the usage of SwyxWare disk space, check the size of the SwyxWare database and the SwyxWare trace folder (default location c:\programdata\swyx\traces)

 

CPU Resources

As a general guideline, it can be assumed that the more calls are active at the same time and the more audio needs to be processed by the server, the more CPU power is required.

Remember that for SIP trunks the audio data is also processed by the LinkMgr service running on the server. Mobile devices which are not in the corporate network use remote connector tunnel connections to connect to SwyxWare.

The load of the SwyxFaxServer service depends on the number of active fax transmissions.

If you expect your SwyxWare system to handle more than 60 active calls simultaneously, the CPU usage of the LinkMgr service may be a limiting factor. If you have a high number of active calls you should consider installing the LinkMgr in a separate VM.

If you assume that your SwyxWare system has more than 10% mobile users with remote connector tunnels, you should closely monitor the CPU usage of the remote connector service. If necessary move the remote connector service into a separate VM.

The CPU usage of the SwyxServer service usually depends on the call frequency, i.e. the phase of connection establishment or disconnection is the main driver for the CPU usage. Keep this in mind if you have a high call frequency, e.g. in call center scenarios.

mceclip1.png


RAM - Memory

The following figure shows the ratio between required RAM server memory and number of users for typical user scenarios.

mceclip2.png


VisualGroups Extension

When using Swyx VisualGroups, extended requirements apply to the SwyxWare server on which the service components of VisualGroups must also be installed.

Basically, when using Swyx VisualGroups the system requirements depend on the number of VisualGroups users.

The requirements shown below are to be understood as additional to the above mentioned server requirements for a SwyxServer.

mceclip3.png

SwyxIt! Installations

You can use Intel or AMD processors for the SwyxIt! computers. The processors currently available provide more than the required performance for using SwyxIt!.

It is important to have enough RAM to avoid swapping to disk - even of all other used applications are running plus SwyxIt! on top.

Please note that SwyxIt! needs to respond quickly - other applications on the system may affect the speech quality and the responsiveness of SwyxWare in a negative way.

SwyxIt!

Installation

Windows 10/11

Standard installation
- simple skin
no compression
no Application Sharing
 

 

 

 

 

 

 

 

 

min. 1 GHz, 2 GB RAM or higher

Operator desk
- Operator skin
no compression
no Application Sharing
 

Standard installation
- simple skin
with compression
with Application Sharing
 

Operator desk
- Operator skin
with compression
with Application Sharing
 

These values are the minimum requirements (only operating system + SwyxIt!, WITHOUT additonal app).

For each additional application run parallel you need to add more RAM to the PC (depending on the requirements of the additional applications).

If you like to use SwyxIt! on Windows Terminalserver please consult also  Memory Usage of SwyxIt! on Windows Terminalserver (this article is only availaible for Swyx Partners).

Related to

Was this article helpful?

0 out of 0 found this helpful

Have more questions? Submit a request

Comments

0 comments

Article is closed for comments.